Feature

DECTweb aims to bring you occasional timely feature articles from well known names in the cordless telecommunications industry.   This month's feature has been kindly provided by one of the leading contributors to recent DECT standardisation of the data capabilities - Stoyan Baev, of Ascom.

If you feel you would be a suitable contributor and would like to offer an article for consideration please e-mail us with your biographical details and an outline for the proposed feature. 

Back to Features Index


Distributed Communications

by Stoyan Baev

The STAR world

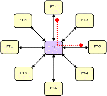
Initially DECT has been design with the idea of a star topology system architecture which is to be understood as a DECT Base station (FT) being in the centre of the star with the Portable terminations (PT) at the outer nodes connected to the Base. The consequence of this has been that if two Portable terminals are to communicate one with each other they had to be connected through the Base station. As far as the capacity of such DECT system is concerned, due to the fact that all connections have to be routed via the FT, the traffic capacity that the FT itself could offer becomes the traffic determinator of the entire DECT system - which, if only one Radio is used at the FT in the best case will be up to 24 channels available for all participants in the system (e.g. if all those are used for data traffic an up to 2 Mbps system data rate).

Figure: DECT traditional star topology

In the case of voice only DECT system this star architecture has been sufficient to satisfy the user requirements as up to 12 parallel voice calls can be handled by one Radio Fixed Termination. Larger DECT systems that have targeted more calls in parallel have solved this limitation introducing more than one radio per Fixed Part.


The DIRECT world

To the beginning

 

In the course of enhancing the DECT core specification a small add on, introduced into the second edition of the DECT CI standard EN 300 175, has allowed for a "Base Station free" (direct Portable-to-Portable communication) mode targeting simple walky-talky (outdoor) scenarios. This has provided a base for one-to-one ad hoc communication - a very much appreciated feature in the DECT DATA world as well. As far as the capacity of such DECT system is concerned, due to the fact that just two radios are involved in the best case up to 24 channels may be available for the two participants in the system (e.g. if all those are used for data traffic an up to 2 Mbps system data rate).

Figure: DECT PP-to-PP communication


The DISTRIBUTED world

To the beginning

 

Though DECT has been a "data enabled" technology since the beginning (up to 553 kbps data rate possible already in 1992 with the first release of the DECT CI standard) the latest trends towards networking and higher data rates led to the introduction of the so called DECT Distributed communication - an enhanced combination of the traditional "star" topology and the Direct PP-to-PP communication. Along with the well known DECT FP (Fixed Part) and PP (Portable Part) terminals, a new type called HyP (Hybrid Part) was introduced which together with the definition of the Distributed Communication DECT Local Network (DCDL-net) including a number of additional requirements gave to the DECT system the real network power - up to 240 channels per system, up to 24 channels per single communication link (e.g. if all those are used for data traffic 10x2 Mbps system data rate).

Figure: DECT Distributed communication


How does it work?

To the beginning

 

A HyP terminal is a DECT terminal that can receive calls as normal PPs do, and, can initiate calls as normal FPs do. A DCDL-net still has a Base station (FP) which though still capable of routing calls is mainly use as a synchronisation terminal with additional information and control functions. A terminal playing the role of the Base station in a DLDC-net is called not surprisingly a MASTER and is used to control the membership in a DCDL-net, distribute DCDL-net specific membership information to all members, and assist communication between any two members. All members are synchronised to the Master and posses all the necessary information (identities and keys) allowing them at any time to set up a call to a particular terminal (another DCDL-net member) just by placing a call request as a normal Base station would do. As every call is served by two independent radio parts (opposite to the star topology case where in every call one and the same radio part was participating - the one of the FP), every pair of two terminals could use up to 24 channels (out of 240 channels available per DCDL-net), or up to 2 Mbps data rate with 8th level modulation scheme.

Let us imagine a typical today's home scenario. A House. A house with 2 PCs - the Dad's PC and the Daughter's PC; one printer - Everybody's Printer; a camera - Who-gets-it-first's camera; 3 handsets - Dad's Handset, Mom's handset and the Daughter's handset. And few extra (advanced) events - Dad's got recently a Palm but usually forgets it in the office; Mom's bringing from time to time at home her Laptop; Granny hates computers but knows what WWW is - hence she's got a Webpad - as simple as that. Not to forget, the simplest with acceptable for the moment data rate ISDN network connection - two 64 kbps parallel ISDN channels to the fixed network.

Figure: DECT Distributed communication in practice

And an usual evening:

Dad is downloading the pictures he made on his last business trip and is printing them at the same time - Dad's PC involved in 2 calls - as in both calls one radio is involved up to 2 Mbs for both calls;

Daughter is on the web and in parallel discussing on the phone with a friend what she is seeing on the page she visits - Daughter's PC has one data connection via the Base station to one 64 kbps ISDN channel (well, that is one ISDN channel could do), and one voice connection taking the second external line

Granny is complaining to Mom using a voice connection over the Webpad that as usual she has no access to Internet and Mom is sending to Granny some off-line content over her Laptop, hence Granny can calm down - Granny's Webpad is communicating with Mom's Laptop via a speech channel using 2 (out of 24) bearers and the data transmission is using the other 22; Mom is using her Handset - both are talking using an internal call (i.e. via the base station - Granny does not know how to switch the Webpad in Direct PP-to-PP mode).

(Home, Wireless Home ...)


References

To the beginning

 

The DECT Distributed Communications concept is currently described in EN 301 649 DECT DPRS.

In close future it is to be found in the EN 300 175-5, the DECT CI interface standard which new edition is due later in this year.



Stoyan Baev, has been the editor and the main contributor to the Distributed communication specification in the DECT standard. He is Chairman of the EP DECT- Testing subproject and currently working with Ascom Terminals - he can be contacted at Stoyan.Baev@ascom.ch.